The Swedish University of Agricultural Sciences in Uppsala has carried out extensive research and testing on the Vitafloor vibrating floor system for horses since 2003, including studies to analyse what happens with a clinically healthy horse during vibration treatment.


They used thermography before and after treatment, took blood samples, measured rectal temperature and heart rate, and made a clinical examination and observation of physical reactions.Temperature was checked in the fore legs, where significant changes were observed.There was a significant reduction in temperature of the fetlock and hoof wall of the front legs.
Most importantly, no negative effects have ever been noted from treatment on a Vitafloor and horses really seem to enjoy their sessions.
Since being made available in 2005, hundreds of Vitafloor units have been used to help horses reach their full potential and to assist in recovery from acute or chronic ailments. In all cases, the outcomes were more successful and the rehabilitation times shorter than predicted.
Facts & Advantages
- Bone scans at UC Davis show Vitafloor regenerates bone density not just in the legs, but also in the ribs.
- By placing your hands on the horse, you can feel the vibrations from the Vitafloor all the way up through the shoulders.
- Increase of bone density by up to 20% (human study).
- Vitafloor also helps in the treatment of soft tissue injuries, joint soreness, laminitis, and navicular disease.
- Stimulates healthier and faster hoof growth – important for horses with hoof problems.
- Lowers cortisol levels for relaxation.
- Preliminary veterinary studies show Vitafloor helps increase some back muscles and promotes suppleness.
- Significant muscle power increases after only 10 minutes per day for 10 days on the Vitafloor.
- Horses trained on the Vitafloor can accelerate faster from standstill and develop more elevation in their stride. With trotters, elasticity and flexibility increase.
- Tests show it has a positive effect on warming-up by causing less energy to be needed for the transition into trot.
- The Vitafloor benefits and shortens the recovery processes, especially of tendon injuries.
- Shorter training sessions necessary so less man hours needed for more power, flexibility and stamina in your horses.
- Less risk for muscle or tendon tears and bone fractures.
- Competitive advantage due to greater acceleration with less energy exerted.
- Enables horses to be rehabilitated with less supervision, so less labour-intensive.
- Very suitable and effective for rehabilitating horses on box-rest or too difficult to manage in hand.
- Vibration training raises production of testosterone.
No hoof no horse. It has been said a million times. We, as horse owners, go to great lengths to help promote healthy feet with regular trims by qualified farriers and attending to problems right away. However, on occasion, horses still have issues. One of the therapies available to address hoof health is Vitafloor® whole body vibration.

Vitafloor® whole body vibration is natural and straightforward. The vertical vibrations generated imitate the gentle impact or concussion found in regular movement, just at a more consistent, greater frequency. These concussions, between thirty and fifty repetitions per second, are gentle enough to be soothing, but strong enough to reach up all the way through the body. These vibrations activate the various cardiovascular, pulmonary, and bio mechanical systems in the body which promote overall wellness; but can also help with targeted healing.
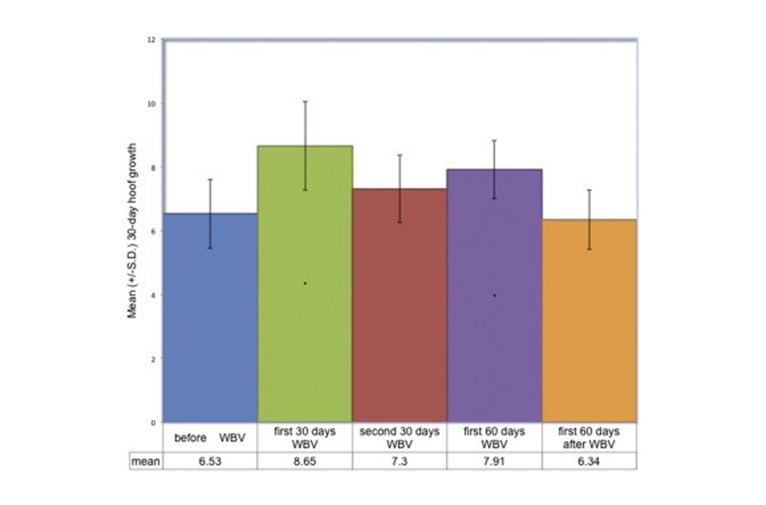
We are excited to share the most recent findings of a 60-day study on ten horses using Vitafloor® technology conducted at Peninsula Equine Medical Center in Menlo, California. Hoof and sole growth was markedly accelerated after twice daily Vitafloor® vibration therapy sessions:
“Whole Body Vibration (WBV) increases hoof growth significantly over a 30 and 60-day period with the main increase seen in the first 30 days of the treatment. No prolonged effect on hoof growth rate was seen after cessation of WBV. These results indicate that Whole Body Vibration can be used as a non-invasive, safe and non-labor intensive therapeutic modality to accelerate hoof growth in the horse.”
Bart Halsberghe
Veterinary Surgeon, DABVP (equine), cert. ISELP, CVMA, cVSMT, CERT.: Peninsula Equine Medical Center, Menlo Park, CA.
These results are promising for laminitis patients, as the study shows a significant increase (up to 40%) of hoof growth, especially in the first 30 days of the treatment. Once the study was finished and treatments were stopped at 60 days, the hoof growth fell back to similar levels as before the treatment. Laminitis, a painful and debilitating condition, is caused by a disruption of blood flow to the laminae. Vitafloor® whole body vibration therapy is one potential tool to help combat this stressful problem by generating faster, healthy hoof growth, and helping with pain and inflammation.

The study echoes our own experience at Dutch Dreamhorses Rehabilitation Center. Below is an example of a laminitis case we recently treated. This pony had a history of laminitis flareups for several years, but this winter it became much worse. When the coffin bone began to rotate, her veterinarian recommended she should be brought to the rehab center to use the Vitafloor® stall unit. She was already in clogs that were screwed on as she couldn’t handle the pain of nailed on shoes. The left x-ray was taken just before Vitafloor® sessions began, and shows a clear example of foundering with some rotation. She then started twice daily Vitafloor® therapy sessions. The right x-ray shows the same foot just under six weeks later. As the radiographs show, the sole growth is impressive. Note how the angles are improved as the farrier was able to take off a large amount of toe due to increased hoof growth, and the sole thickness has increased dramatically. This pony is now back at home having made a complete recovery.

Because the Vitafloor® vertical vibrations reach all the way through the topline, the horses mentioned here not only benefited from the results of this therapy on their feet, but also in their topline, internal organs, musculature, and fascia as research suggests. While sidelined or on stall rest, the Vitafloor® vibrations provide secondary and tertiary wellness benefits: keeping the body activated for more efficient recovery.
Have a question? Give us a call on +44 (0)1458 251300